
In order to watch this solution you need to have a subscription.
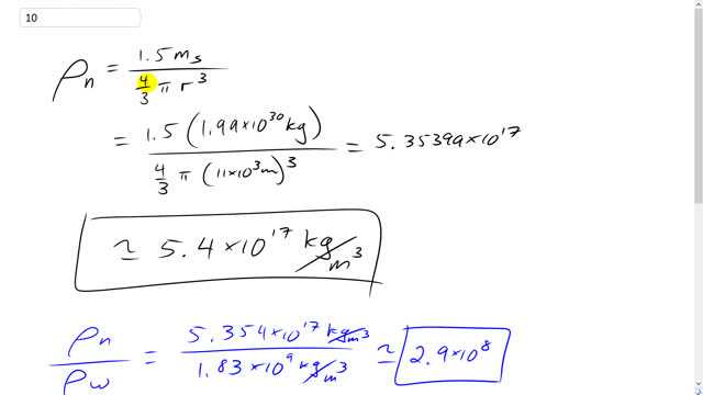
Please check your numbers for the neutron star : nuclear matter density ratio: I got ~2.3 with 1.2x10^(-15) as the radius of the nuclear matter and all else the same numbers...
I did the algebraic calculation via Google, btw.
