Giancoli 7th Edition textbook cover
Giancoli's Physics: Principles with Applications, 7th Edition
32
Elementary Particles
Change chapter

32-1: Particles and Accelerators
32-2 to 32-6: Particle Interactions, Particle Exchange
32-7 to 32-11: Resonances, Standard Model, Quarks, QCD, GUT

Question by Giancoli, Douglas C., Physics: Principles with Applications, 7th Ed., ©2014, Reprinted by permission of Pearson Education Inc., New York.
Problem 26
Q

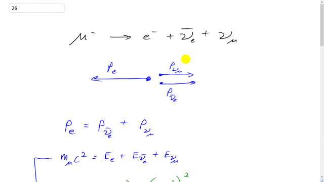
Calculate the maximum kinetic energy of the electron when a muon decays from rest via μe\mu^- \rightarrow \textrm{e}^- + νˉe\bar{\nu}_\textrm{e} + νμ\nu_\mu. [Hint: In what direction do the two neutrinos move relative to the electron in order to give the electron the maximum kinetic energy? Both energy and momentum are conserved; use relativistic formulas.

A
52.3 MeV52.3 \textrm{ MeV}
Giancoli 7th Edition, Chapter 32, Problem 26 solution video poster
Padlock

In order to watch this solution you need to have a subscription.

Find us on:

Facebook iconTrustpilot icon
Giancoli Answers, including solutions and videos, is copyright © 2009-2026 Shaun Dychko, Vancouver, BC, Canada. Giancoli Answers is not affiliated with the textbook publisher. Book covers, titles, and author names appear for reference purposes only and are the property of their respective owners. Giancoli Answers is your best source for the 7th and 6th edition Giancoli physics solutions.