Giancoli 7th Edition textbook cover
Giancoli's Physics: Principles with Applications, 7th Edition
32
Elementary Particles
Change chapter

32-1: Particles and Accelerators
32-2 to 32-6: Particle Interactions, Particle Exchange
32-7 to 32-11: Resonances, Standard Model, Quarks, QCD, GUT

Question by Giancoli, Douglas C., Physics: Principles with Applications, 7th Ed., ©2014, Reprinted by permission of Pearson Education Inc., New York.
Problem 10
Q

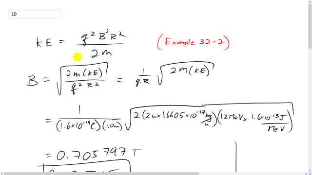
A cyclotron with a radius of 1.0 m is to accelerate deuterons (12H{^{2}_{1}\textrm{H}}) to an energy of 12 MeV.

  1. What is the required magnetic field?
  2. What frequency is needed for the voltage between the dees?
  3. If the potential difference between the dees averages 22 kV, how many revolutions will the particles make before exiting?
  4. How much time does it take for one deuteron to go from start to exit?
  5. Estimate how far it travels during this time.
A
  1. 0.71 T0.71 \textrm{ T}
  2. 5.4 MHz5.4 \textrm{ MHz}
  3. 270 revs270 \textrm{ revs}
  4. 5.0×105 s5.0 \times 10^{-5} \textrm{ s}
  5. 860 m860 \textrm{ m}
Giancoli 7th Edition, Chapter 32, Problem 10 solution video poster
Padlock

In order to watch this solution you need to have a subscription.

Find us on:

Facebook iconTrustpilot icon
Giancoli Answers, including solutions and videos, is copyright © 2009-2026 Shaun Dychko, Vancouver, BC, Canada. Giancoli Answers is not affiliated with the textbook publisher. Book covers, titles, and author names appear for reference purposes only and are the property of their respective owners. Giancoli Answers is your best source for the 7th and 6th edition Giancoli physics solutions.