Giancoli 7th Edition textbook cover
Giancoli's Physics: Principles with Applications, 7th Edition
30
Nuclear Physics and Radioactivity
Change chapter

30-1: Nuclear Properties
30-2: Binding Energy
30-3 to 30-7: Radioactive Decay
30-8 to 30-11: Half-Life, Decay Rates, Decay Series, Dating

Question by Giancoli, Douglas C., Physics: Principles with Applications, 7th Ed., ©2014, Reprinted by permission of Pearson Education Inc., New York.
Problem 56
Q

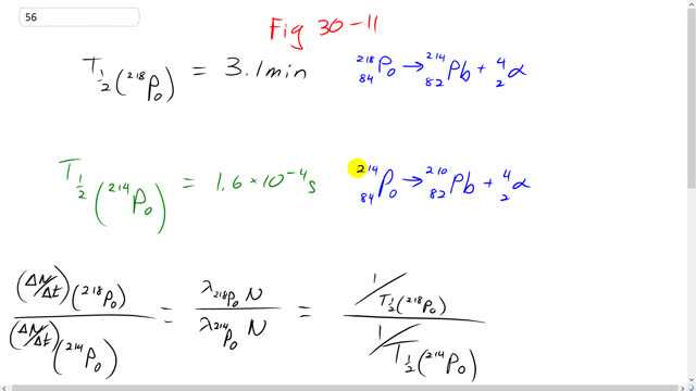
Use Fig. 30–11 and calculate the relative decay rates for α\alpha decay of 84218Po{^{218}_{84}\textrm{Po}} and 84214Po{^{214}_{84}\textrm{Po}}.

Decay series beginning with uranium-238. Nuclei in the series are specified by a dot representing A and Z values. Half-lives are given in seconds (s), minutes (min), hours (h), days (d), or years (yr). Note that a horizontal arrow represents beta decay, whereas a diagonal line represents alpha decay. For the four nuclides shown that can decay by both alpha and beta decay, the more prominent decay (in these four cases, > 99.9%) is shown as a solid arrow and the less common decay as a dashed arrow.
Figure 30-11 Decay series beginning with 92238U^{238}_{92}\textrm{U}. Nuclei in the series are specified by a dot representing AA and ZZ values. Half-lives are given in seconds (s), minutes (min), hours (h), days (d), or years (yr). Note that a horizontal arrow represents β\beta decay (AA does not change), whereas a diagonal line represents α\alpha decay (AA changes by 4, ZZ changes by 2). For the four nuclides shown that can decay by both α\alpha and β\beta decay, the more prominent decay (in these four cases, >99.9%) is shown as a solid arrow and the less common decay (<0.1%) as a dashed arrow.
A
8.6×1078.6 \times 10^{-7}
Giancoli 7th Edition, Chapter 30, Problem 56 solution video poster
Padlock

In order to watch this solution you need to have a subscription.

Find us on:

Facebook iconTrustpilot icon
Giancoli Answers, including solutions and videos, is copyright © 2009-2026 Shaun Dychko, Vancouver, BC, Canada. Giancoli Answers is not affiliated with the textbook publisher. Book covers, titles, and author names appear for reference purposes only and are the property of their respective owners. Giancoli Answers is your best source for the 7th and 6th edition Giancoli physics solutions.