Giancoli 7th Edition textbook cover
Giancoli's Physics: Principles with Applications, 7th Edition
30
Nuclear Physics and Radioactivity
Change chapter

30-1: Nuclear Properties
30-2: Binding Energy
30-3 to 30-7: Radioactive Decay
30-8 to 30-11: Half-Life, Decay Rates, Decay Series, Dating

Question by Giancoli, Douglas C., Physics: Principles with Applications, 7th Ed., ©2014, Reprinted by permission of Pearson Education Inc., New York.
Problem 53
Q

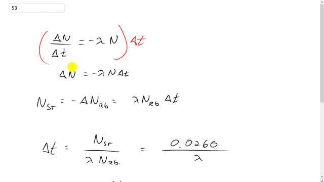
Rubidium-strontium dating. The rubidium isotope 3787Rb{^{87}_{37}\textrm{Rb}}, a β\beta emitter with a half-life of 4.75×1010 yr4.75 \times 10^{10} \textrm{ yr}, is used to determine the age of rocks and fossils. Rocks containing fossils of ancient animals contain a ratio of 3887Sr{^{87}_{38}\textrm{Sr}} to 3787Rb{^{87}_{37}\textrm{Rb}} of 0.0260. Assuming that there was no 3887Sr{^{87}_{38}\textrm{Sr}} present when the rocks were formed, estimate the age of these fossils.

A
1.78×109 Bq1.78 \times 10^9 \textrm{ Bq}
Giancoli 7th Edition, Chapter 30, Problem 53 solution video poster
Padlock

In order to watch this solution you need to have a subscription.

Find us on:

Facebook iconTrustpilot icon
Giancoli Answers, including solutions and videos, is copyright © 2009-2026 Shaun Dychko, Vancouver, BC, Canada. Giancoli Answers is not affiliated with the textbook publisher. Book covers, titles, and author names appear for reference purposes only and are the property of their respective owners. Giancoli Answers is your best source for the 7th and 6th edition Giancoli physics solutions.