Giancoli 7th Edition textbook cover
Giancoli's Physics: Principles with Applications, 7th Edition
29
Molecules and Solids
Change chapter

29-1 to 29-3: Molecular Bonds
29-4: Molecular Spectra
29-5: Bonding in Solids
29-7: Band Theory of Solids
29-8: Semiconductors and Doping
29-9: Diodes
29-10: Transistors

Question by Giancoli, Douglas C., Physics: Principles with Applications, 7th Ed., ©2014, Reprinted by permission of Pearson Education Inc., New York.
Problem 34
Q

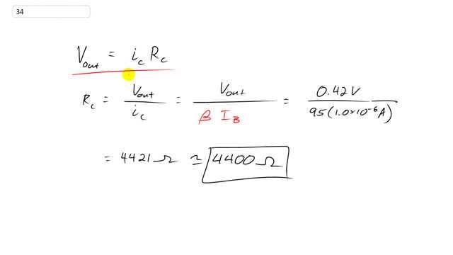
If the current gain of the transistor amplifier in Fig. 29–41 is β=iC/iB=95\beta = i_\textrm{C}/i_\textrm{B} = 95, what value must RCR_\textrm{C} have if a 1.01.0-μA\mu \textrm{A} ac base current is to produce an ac output voltage of 0.42 V?

An npn transistor used as an amplifier. I_B is the current produced by E_B (in the absence of a signal), i_B is the ac signal current (= change in I_B).
Figure 29-41 An npn transistor used as an amplifier. IBI_B is the current produced by ξB\xi_B (in the absence of a signal), iBi_B is the ac signal current (= change in IBI_B).
A
4400  Ω4400 \; \Omega
Giancoli 7th Edition, Chapter 29, Problem 34 solution video poster
Padlock

In order to watch this solution you need to have a subscription.

Find us on:

Facebook iconTrustpilot icon
Giancoli Answers, including solutions and videos, is copyright © 2009-2026 Shaun Dychko, Vancouver, BC, Canada. Giancoli Answers is not affiliated with the textbook publisher. Book covers, titles, and author names appear for reference purposes only and are the property of their respective owners. Giancoli Answers is your best source for the 7th and 6th edition Giancoli physics solutions.