Giancoli 7th Edition textbook cover
Giancoli's Physics: Principles with Applications, 7th Edition
29
Molecules and Solids
Change chapter

29-1 to 29-3: Molecular Bonds
29-4: Molecular Spectra
29-5: Bonding in Solids
29-7: Band Theory of Solids
29-8: Semiconductors and Doping
29-9: Diodes
29-10: Transistors

Question by Giancoli, Douglas C., Physics: Principles with Applications, 7th Ed., ©2014, Reprinted by permission of Pearson Education Inc., New York.
Problem 20
Q

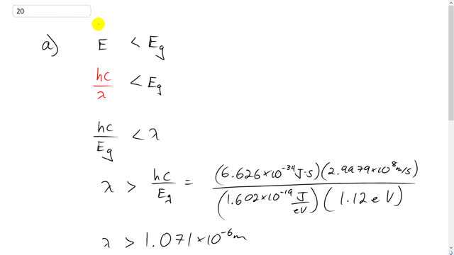
The band gap of silicon is 1.12 eV.

  1. For what range of wavelengths will silicon be transparent? (See Example 29–5.) In what region of the electromagnetic spectrum does this transparent range begin?
  2. If window glass is transparent for all visible wavelengths, what is the minimum possible band gap value for glass (assume λ\lambda = 400 nm to 700 nm)? [Hint: If the photon has less energy than the band gap, the photon will pass through the solid without being absorbed.]
A
  1. λ>1.1  μm, infrared\lambda > 1.1 \; \mu \textrm{m, infrared}
  2. 3.1 eV3.1 \textrm{ eV}
Giancoli 7th Edition, Chapter 29, Problem 20 solution video poster
Padlock

In order to watch this solution you need to have a subscription.

Find us on:

Facebook iconTrustpilot icon
Giancoli Answers, including solutions and videos, is copyright © 2009-2026 Shaun Dychko, Vancouver, BC, Canada. Giancoli Answers is not affiliated with the textbook publisher. Book covers, titles, and author names appear for reference purposes only and are the property of their respective owners. Giancoli Answers is your best source for the 7th and 6th edition Giancoli physics solutions.