Giancoli 7th Edition textbook cover
Giancoli's Physics: Principles with Applications, 7th Edition
25
Optical Instruments
Change chapter

25-1: Camera
25-2: Eye and Corrective Lenses
25-3: Magnifying Glass
25-4: Telescopes
25-5: Microscopes
25-6: Lens Aberrations
25-7 to 25-9: Resolution Limits
25-11: X-Ray Diffraction
25-12: Imaging by Tomography

Question by Giancoli, Douglas C., Physics: Principles with Applications, 7th Ed., ©2014, Reprinted by permission of Pearson Education Inc., New York.
Problem 52
Q

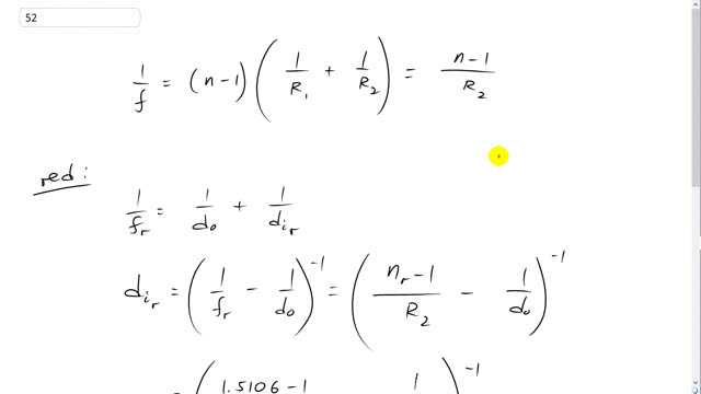
A planoconvex lens (Fig. 23–31a) has one flat surface and the other has R = 14.5 cm. This lens is used to view a red and yellow object which is 66.0 cm away from the lens. The index of refraction of the glass is 1.5106 for red light and 1.5226 for yellow light. What are the locations of the red and yellow images formed by the lens? [Hint: See Section 23–10.]

(a) Converging lenses.
Figure 23-31 (a) Converging lenses.
A
red: 49.8 cm, yellow: 47.9 cm
Giancoli 7th Edition, Chapter 25, Problem 52 solution video poster
Padlock

In order to watch this solution you need to have a subscription.

Find us on:

Facebook iconTrustpilot icon
Giancoli Answers, including solutions and videos, is copyright © 2009-2026 Shaun Dychko, Vancouver, BC, Canada. Giancoli Answers is not affiliated with the textbook publisher. Book covers, titles, and author names appear for reference purposes only and are the property of their respective owners. Giancoli Answers is your best source for the 7th and 6th edition Giancoli physics solutions.