Giancoli 7th Edition textbook cover
Giancoli's Physics: Principles with Applications, 7th Edition
25
Optical Instruments
Change chapter

25-1: Camera
25-2: Eye and Corrective Lenses
25-3: Magnifying Glass
25-4: Telescopes
25-5: Microscopes
25-6: Lens Aberrations
25-7 to 25-9: Resolution Limits
25-11: X-Ray Diffraction
25-12: Imaging by Tomography

Question by Giancoli, Douglas C., Physics: Principles with Applications, 7th Ed., ©2014, Reprinted by permission of Pearson Education Inc., New York.
Problem 43
Q

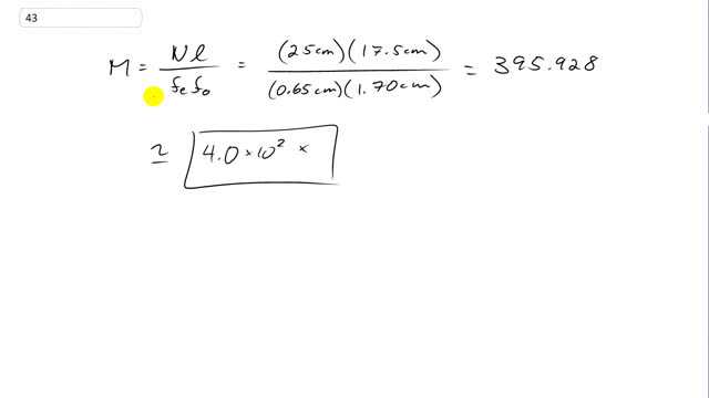
A microscope uses an eyepiece with a focal length of 1.70 cm. Using a normal eye with a final image at infinity, the barrel length is 17.5 cm and the focal length of the objective lens is 0.65 cm. What is the magnification of the microscope?

A
4.0×102X4.0 \times 10^2 \textrm{X}
Giancoli 7th Edition, Chapter 25, Problem 43 solution video poster
Padlock

In order to watch this solution you need to have a subscription.

COMMENTS
By jgbyouthempowered on Sun, 12/10/2023 - 2:21 AM

where did you get the 25 from?

Find us on:

Facebook iconTrustpilot icon
Giancoli Answers, including solutions and videos, is copyright © 2009-2026 Shaun Dychko, Vancouver, BC, Canada. Giancoli Answers is not affiliated with the textbook publisher. Book covers, titles, and author names appear for reference purposes only and are the property of their respective owners. Giancoli Answers is your best source for the 7th and 6th edition Giancoli physics solutions.