
In order to watch this solution you need to have a subscription.
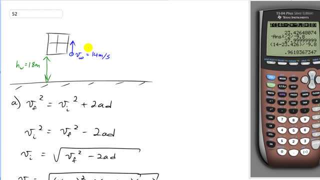
This is Giancoli Answers with Mr. Dychko. This baseball is seen to pass upwards past the bottom of the window at 14 meters per second and then bottom of the window is at a height 18 meters above the ground. So based on that information, we have to answer a whole bunch of questions. Its acceleration of course is gonna be downward due to gravity and we are gonna assume that upwards is a positive direction so gravity is gonna be having acceleration of negative 9.8 meters per second squared in this question. So we'll start with saying that v f squared equals v i squared plus 2ad and what we are answering is what is this initial speed that it was launched from at the ground. So the v f in this context will be the speed at which it passes the window. and we'll solve this for v i by subtracting 2ad from both sides and then switch the sides around so the unknown is on the left then take the square root of both sides and you get v i is the square root of v f minus 2ad. So v f is 14 meters per second and the distance or the displacement is 18 meters and then the acceleration downward is negative 9.8 meters per second squared and plug those numbers in and you get 23 meters per second must have been the launch speed from the ground of this baseball. In part (b), what altitude does it reach so what is the final height because it's gonna keep on going and going and going until it gets to some height up here and the question is what is that height? And we use the same formula again but now the letters mean something slightly different; d is now this entire height here from ground to very top at which point its speed is zero by the way at the very top there so v f is zero. And we'll solve this for d by subtracting v i squared from both sides and then dividing both sides by 2a and you end up with d equals negative v i squared divided by 2a. So we'll plug in the initial velocity that we calculated in part (a) so that's 23.426 using the unrounded answer in our subsequent calculations to avoid intermediate rounding error; we don't want to introduce mistakes just because of using rounded answers. So we square that, put a minus in front of it because of the algebra and then divide by 2 and also divide by negative 9.8 meters per second squared for a total height of 28 meters above the ground that's how high this baseball would go. And that takes us to this point in the calculator to the next question when was it thrown? At what time was it initially thrown from the ground? So knowing that it's past this height of 18 meters at a speed of 14 meters per second when was it initially thrown? So we'll solve for t in this formula here because we know the final speed is 14 meters per second at the bottom of the window and the initial speed at the ground— we have calculated in part (a)—23 and so we'll subtract v i from both sides and that gives us this line and then divide both sides by a and we have time is final speed at the bottom— 14 meters per second— minus the velocity that it was launched with—23.426— and divide by the acceleration—negative 9.8 metes per second squared. So the baseball was thrown up 0.96 seconds before it was observed passing the window. And then part (d), when does it reach the street again? So how much time after it's seen does it reach the street again? So it's not how much time is it in the air in total which is a typical question in this case, it's instead asking how much time from here to here is it in the air? We'll start by knowing that v f is the negative of v i when you are comparing the same height with a projectile; so the ball is launching from here to the ground, you can think of it that way here's the height 18 meters above the ground and we are gonna use this formula v f is v i plus at to figure out time and v f is gonna be the velocity that the ball has here and that velocity would be the negative of what it was when it was originally launched and we have already calculated the original launch velocity in part (a) and so the velocity that it has here is gonna be the negative of that so it's gonna be negative 23.426. So that's what this line here is saying substitute in negative of the initial velocity in for final velocity and then solve this for t. And we'll subtract velocity at the bottom of the window both sides and then divide by a and you get this. And so that's the negative of the launch velocity from the ground negative 23.426 meters per second minus the initial velocity that it has at this point which is upwards so it's positive so that's the initial is 14 meters per second and I have put a subscript w on it to say it's the velocity at the window and then divide all of that by the acceleration negative 9.8 meters per second squared and you get 3.8 seconds after it's seen at the window, it will hit the ground again.
