
In order to watch this solution you need to have a subscription.
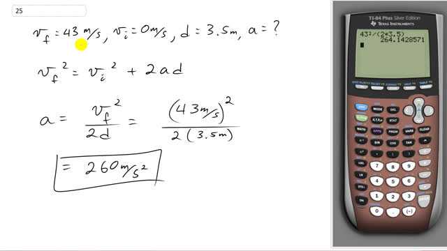
This is Giancoli Answers with Mr. Dychko. The final velocity of this baseball is 43 meters per second; it starts from rest so initial velocity is zero and this change in velocity occurs over a distance of 3.5 meters and we have to find the acceleration. So this formula is gonna be useful for answering it because we know that the initial velocity is zero, we know what the final velocity is and we know what the d is so that means the only unknown is a so we can solve for a. So we'll divide both sides by 2d giving us acceleration after we flip the sides around and a is final velocity squared divided by 2 times the distance. So the baseball leaves the pitcher's hand at 43 meters per second, we square that and then divide by 2 and divide by 3.5 meters and we get 260 meters per second squared when rounded to two significant figures.
Where did you get the setup Vfinal^2 = Vinitial^2 + 2ad?
Never mind, I took a second look at it and everything came together :)
how did you know that inital velocity is zero why not the final is zero ?
Hi mafiadx83, thanks for the question. The scenario in this problem is that a pitcher is throwing a baseball. In that scenario, the ball begins at rest in the pitcher's hand, and then they throw their arm forward to throw the ball. The problem says to assume that their throwing action takes place over a distance of . The final velocity of the ball is whatever velocity with which it leaves their hand at the end of the pitching action, and the problem tells us this is . That's how we make our assumptions, and the videos explains how to get the acceleration given the information provided, but please let me know if it isn't clear.
All the best,
Mr. Dychko
Should the answer be 2.6*10^2 m/s^2 rather than 260? Is putting the zero ok or is it assuming too much accuracy? Thanks
Hi kingrhino, thanks for the question. Writing is the safer way to write the answer if you were, for example, concerned that someone marking a test paper was looking closely at significant figures. Strictly speaking also has only two significant figures, and the trailing zero does not count as a significant figure in this case. The trailing zero serves as a "place holder" in order to position the "2" in the hundreds place, and the "6" in the tens place. I've seen with a barely visible "dot" following the zero to indicate three significant figures, but that's not a good idea, so don't do that since it's too difficult to see. When in doubt, use scientific notation as you suggested, but know that you can write answers with "place holder" zeros as well.
Best wishes,
Mr. Dychko

