
In order to watch this solution you need to have a subscription.
Hello,
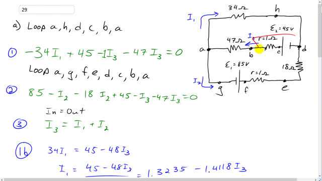
At 6:09, you added 1.3235 and 6.8421 to get 8.1556 and then you added -1.4118 to -2.5263 to get 4.9381. Should you have gotten 3.9381(I3)=8.1656 instead?
Thanks in advance for your help.
Hi ctlawson, thanks for the question. At 6:09 two things were done at once: as you say, but the second thing done is that this quantity was moved to the other side of the equation. There is the term over there, so the result is on the left side.
Hope that helps, and all the best with your studies,
Mr. Dychko
Oh, I see now. Thanks for your help.
How does the -2.5263 I3 added to the -1.4118 I3 equal 4.981 I3? Should it not be 3.981 I3?
Hi chuy4espindola4, that's a good question. Another student also asked about that step, and here was my reply: https://www.giancolianswers.com/giancoli-physics-7th-edition-solutions/…. Please just ask further if something there isn't clear.
All the best,
Mr. Dychko
Is this typical for such problems to be this confusing with the direction of the current? I spent so much time redoing my math, trying to figure out what I was doing wrong... Honestly, if they did not provide any direction of the current at all, it would be better...
THANK YOU!! I have been stuck on this homework problem for so long and couldn’t figure it out properly. this topic does confuse me but you made it make total sense. best $8 subscription! 🙏🙏
Hi Alexis, I'm so glad my solution was helpful with your studies, and I really appreciate the wonderful feedback you've given here. Knowing my work is helping students makes creating them very rewarding.
All the best,
Shaun


