Giancoli 7th Edition textbook cover
Giancoli's Physics: Principles with Applications, 7th Edition
19
DC Circuits
Change chapter

19-1: Emf and Terminal Voltage
19-2: Resistors in Series and Parallel
19-3: Kirchhoff's Rules
19-4: Emfs Combined, Battery Charging
19-5: Capacitors in Series and Parallel
19-6: RC Circuits
19-8: Ammeters and Voltmeters

Question by Giancoli, Douglas C., Physics: Principles with Applications, 7th Ed., ©2014, Reprinted by permission of Pearson Education Inc., New York.
Problem 21
Q

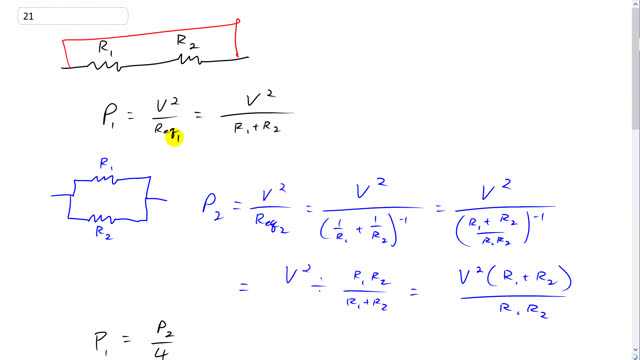
Two resistors when connected in series to a 120-V line use one-fourth the power that is used when they are connected in parallel. If one resistor is 4.8 kΩ4.8 \textrm{ k}\Omega, what is the resistance of the other?

A
4.8 kΩ4.8 \textrm{ k}\Omega
Giancoli 7th Edition, Chapter 19, Problem 21 solution video poster
Padlock

In order to watch this solution you need to have a subscription.

Find us on:

Facebook iconTrustpilot icon
Giancoli Answers, including solutions and videos, is copyright © 2009-2026 Shaun Dychko, Vancouver, BC, Canada. Giancoli Answers is not affiliated with the textbook publisher. Book covers, titles, and author names appear for reference purposes only and are the property of their respective owners. Giancoli Answers is your best source for the 7th and 6th edition Giancoli physics solutions.