Giancoli 7th Edition textbook cover
Giancoli's Physics: Principles with Applications, 7th Global Edition
9
Static Equilibrium; Elasticity and Fracture
Change chapter

9-1 and 9-2: Equilibrium
9-3: Muscles and Joints
9-4: Stability and Balance
9-5: Elasticity; Stress and Strain
9-6: Fracture
9-7: Arches and Domes

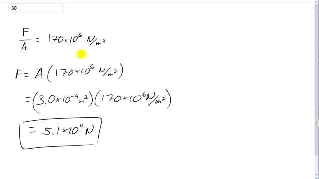
Problem 46
A
5.1×104 N5.1 \times 10^4 \textrm{ N}
Giancoli 7th "Global" Edition, Chapter 9, Problem 46 solution video poster
Padlock

In order to watch this solution you need to have a subscription.

Find us on:

Facebook iconTrustpilot icon
Giancoli Answers, including solutions and videos, is copyright © 2009-2026 Shaun Dychko, Vancouver, BC, Canada. Giancoli Answers is not affiliated with the textbook publisher. Book covers, titles, and author names appear for reference purposes only and are the property of their respective owners. Giancoli Answers is your best source for the 7th and 6th edition Giancoli physics solutions.