Giancoli 7th Edition textbook cover
Giancoli's Physics: Principles with Applications, 7th Global Edition
7
Linear Momentum
Change chapter

7-1 and 7-2: Momentum and its Conservation
7-3: Collisions and Impulse
7-4 and 7-5: Elastic Collisions
7-6: Inelastic Collisions
7-7: Collisions in Two Dimensions
7-8: Center of Mass (CM)
7-9: CM for the Human Body
7-10: CM and Translational Motion

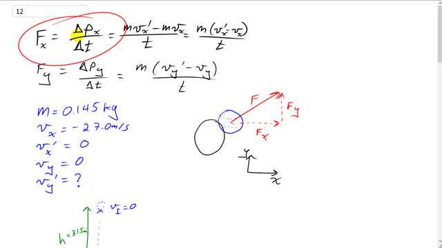
Problem 12
A
2100 N, 43 above horizontal2100 \textrm{ N, } 43^\circ \textrm{ above horizontal}
Giancoli 7th "Global" Edition, Chapter 7, Problem 12 solution video poster
Padlock

In order to watch this solution you need to have a subscription.

Find us on:

Facebook iconTrustpilot icon
Giancoli Answers, including solutions and videos, is copyright © 2009-2026 Shaun Dychko, Vancouver, BC, Canada. Giancoli Answers is not affiliated with the textbook publisher. Book covers, titles, and author names appear for reference purposes only and are the property of their respective owners. Giancoli Answers is your best source for the 7th and 6th edition Giancoli physics solutions.