Giancoli 7th Edition textbook cover
Giancoli's Physics: Principles with Applications, 7th Global Edition
6
Work and Energy
Change chapter

6-1: Work, Constant Force
6-2: Work, Varying Force
6-3: Kinetic Energy; Work-Energy Principle
6-4 and 6-5: Potential Energy
6-6 and 6-7: Conservation of Mechanical Energy
6-8 and 6-9: Law of Conservation of Energy
6-10: Power

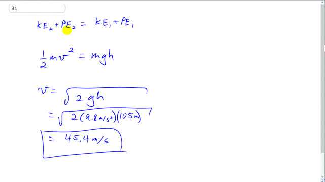
Problem 29
A
45.4 m/s45.4 \textrm{ m/s}
Giancoli 7th "Global" Edition, Chapter 6, Problem 29 solution video poster
Padlock

In order to watch this solution you need to have a subscription.

Find us on:

Facebook iconTrustpilot icon
Giancoli Answers, including solutions and videos, is copyright © 2009-2026 Shaun Dychko, Vancouver, BC, Canada. Giancoli Answers is not affiliated with the textbook publisher. Book covers, titles, and author names appear for reference purposes only and are the property of their respective owners. Giancoli Answers is your best source for the 7th and 6th edition Giancoli physics solutions.