Giancoli 7th Edition textbook cover
Giancoli's Physics: Principles with Applications, 7th Global Edition
32
Elementary Particles
Change chapter

32-1: Particles and Accelerators
32-2 to 32-6: Particle Interactions, Particle Exchange
32-7 to 32-11: Resonances, Standard Model, Quarks, QCD, GUT

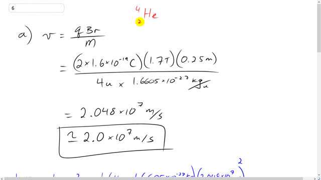
Problem 6
A
  1. v=2.0×107 m/s, KE=8.7 MeVv = 2.0 \times 10^7 \textrm{ m/s, } KE = 8.7 \textrm{ MeV}
  2. v=2.0×107 m/s, KE=4.3 MeVv=2.0 \times 10^7 \textrm{ m/s, } KE=4.3 \textrm{ MeV}
  3. 13 MHz13 \textrm{ MHz} for both 24He{}_2^4He and 12H{}_1^2H
Giancoli 7th "Global" Edition, Chapter 32, Problem 6 solution video poster
Padlock

In order to watch this solution you need to have a subscription.

Find us on:

Facebook iconTrustpilot icon
Giancoli Answers, including solutions and videos, is copyright © 2009-2026 Shaun Dychko, Vancouver, BC, Canada. Giancoli Answers is not affiliated with the textbook publisher. Book covers, titles, and author names appear for reference purposes only and are the property of their respective owners. Giancoli Answers is your best source for the 7th and 6th edition Giancoli physics solutions.