Giancoli 7th Edition textbook cover
Giancoli's Physics: Principles with Applications, 7th Global Edition
30
Nuclear Physics and Radioactivity
Change chapter

30-1: Nuclear Properties
30-2: Binding Energy
30-3 to 30-7: Radioactive Decay
30-8 to 30-11: Half-Life, Decay Rates, Decay Series, Dating

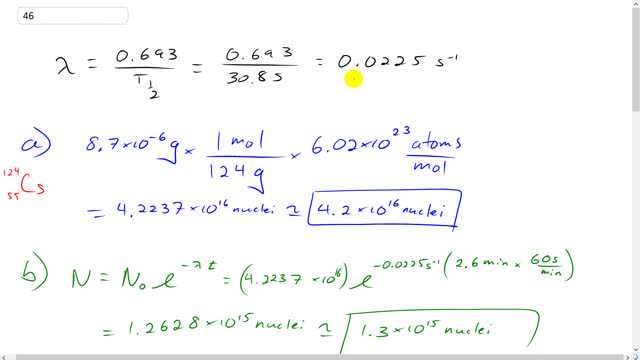
Problem 45
A
  1. 4.2×1016 nuclei4.2 \times 10^{16} \textrm{ nuclei}
  2. 1.3×1015 nuclei1.3 \times 10^{15} \textrm{ nuclei}
  3. 2.8×1013 Bq2.8 \times 10^{13} \textrm{ Bq}
  4. 26 min26 \textrm{ min}
Giancoli 7th "Global" Edition, Chapter 30, Problem 45 solution video poster
Padlock

In order to watch this solution you need to have a subscription.

Find us on:

Facebook iconTrustpilot icon
Giancoli Answers, including solutions and videos, is copyright © 2009-2026 Shaun Dychko, Vancouver, BC, Canada. Giancoli Answers is not affiliated with the textbook publisher. Book covers, titles, and author names appear for reference purposes only and are the property of their respective owners. Giancoli Answers is your best source for the 7th and 6th edition Giancoli physics solutions.