
In order to watch this solution you need to have a subscription.
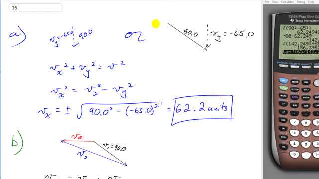
Where did the answer of 62.2 units come from? Given that the square root of 90^2 - (-65^2) is equal to 111.02?
Hi hugokatich, thank you for the question. It's important to notice the minus sign in the expression there, which doesn't go away after squaring -65. Yes, -65 squared becomes positive, but the expression is for finding a leg of a right triangle, not for finding the hypotenuse, so the expression has a minus between the squared terms. .
Best wishes,
Mr. Dychko
Also, what rule did you use for the triangle in part b? Which rule indicates that Vrx = V1x + V2x?
Thank you for the question. Adding vectors using components is one of the methods for adding vectors. The component method, which is probably the most popular method to use, involves finding the sum of the component of each vector along an axis, and then taking the total as the component of the resultant along that axis. Vrx = V1x + V2x is just an algebraic way of saying that.
All the best,
Mr. Dychko
Hi, I am not sure about how the sign of the x-component become positive when we are finding the angle in part b.
