Giancoli 7th Edition textbook cover
Giancoli's Physics: Principles with Applications, 7th Global Edition
29
Molecules and Solids
Change chapter

29-1 to 29-3: Molecular Bonds
29-4: Molecular Spectra
29-5: Bonding in Solids
29-7: Band Theory of Solids
29-8: Semiconductors and Doping
29-9: Diodes
29-10: Transistors

Problem 1
A
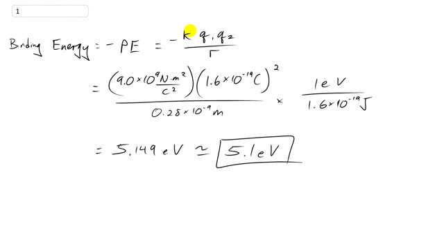
5.1 eV5.1 \textrm{ eV}
Giancoli 7th "Global" Edition, Chapter 29, Problem 1 solution video poster
Padlock

In order to watch this solution you need to have a subscription.

Find us on:

Facebook iconTrustpilot icon
Giancoli Answers, including solutions and videos, is copyright © 2009-2026 Shaun Dychko, Vancouver, BC, Canada. Giancoli Answers is not affiliated with the textbook publisher. Book covers, titles, and author names appear for reference purposes only and are the property of their respective owners. Giancoli Answers is your best source for the 7th and 6th edition Giancoli physics solutions.