Giancoli 7th Edition textbook cover
Giancoli's Physics: Principles with Applications, 7th Global Edition
26
Special Theory of Relativity
Change chapter

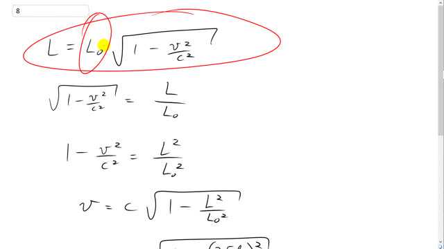
26-4 and 26-5: Time Dilation, Length Contraction
26-7: Relativistic Momentum
26-9: Mass and Energy
26-10: Relativistic Addition of Velocities

Problem 8
A
27 years according to you
Giancoli 7th "Global" Edition, Chapter 26, Problem 8 solution video poster
Padlock

In order to watch this solution you need to have a subscription.

Find us on:

Facebook iconTrustpilot icon
Giancoli Answers, including solutions and videos, is copyright © 2009-2026 Shaun Dychko, Vancouver, BC, Canada. Giancoli Answers is not affiliated with the textbook publisher. Book covers, titles, and author names appear for reference purposes only and are the property of their respective owners. Giancoli Answers is your best source for the 7th and 6th edition Giancoli physics solutions.