Giancoli 7th Edition textbook cover
Giancoli's Physics: Principles with Applications, 7th Global Edition
24
The Wave Nature of Light
Change chapter

24-3: Double-Slit Interference
24-4: Visible Spectrum; Dispersion
24-5: Single-Slit Diffraction
24-6 and 24-7: Diffraction Gratings
24-8: Thin-Film Interference
24-9: Michelson Interferometer
24-10: Polarization

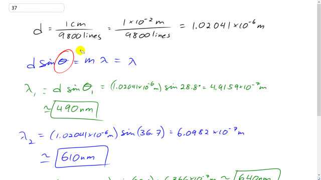
Problem 36
A
λ1=490 nm\lambda_1 = 490 \textrm{ nm} λ2=610 nm\lambda_2 = 610 \textrm{ nm} λ3=640 nm\lambda_3 = 640 \textrm{ nm} λ4=670 nm\lambda_4 = 670 \textrm{ nm}
Giancoli 7th "Global" Edition, Chapter 24, Problem 36 solution video poster
Padlock

In order to watch this solution you need to have a subscription.

Find us on:

Facebook iconTrustpilot icon
Giancoli Answers, including solutions and videos, is copyright © 2009-2026 Shaun Dychko, Vancouver, BC, Canada. Giancoli Answers is not affiliated with the textbook publisher. Book covers, titles, and author names appear for reference purposes only and are the property of their respective owners. Giancoli Answers is your best source for the 7th and 6th edition Giancoli physics solutions.