Giancoli 7th Edition textbook cover
Giancoli's Physics: Principles with Applications, 7th Global Edition
20
Magnetism
Change chapter

20-3: Force on Electric Current in Magnetic Field
20-4: Force on Charge Moving in Magnetic Field
20-5 and 20-6: Magnetic Field of Straight Wire, Force between Two Wires
20-7: Solenoids and Electromagnets
20-8: Ampère's Law
20-9 and 20-10: Torque on Curent Loop, Motors, Galvanometers
20-11: Mass Spectrometer
20-12: Ferromagnetism, Hysteresis

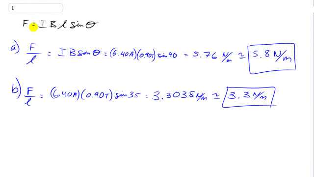
Problem 1
A
  1. 5.8 N/m5.8 \textrm{ N/m}
  2. 3.3 N/m3.3 \textrm{ N/m}
Giancoli 7th "Global" Edition, Chapter 20, Problem 1 solution video poster
Padlock

In order to watch this solution you need to have a subscription.

Find us on:

Facebook iconTrustpilot icon
Giancoli Answers, including solutions and videos, is copyright © 2009-2026 Shaun Dychko, Vancouver, BC, Canada. Giancoli Answers is not affiliated with the textbook publisher. Book covers, titles, and author names appear for reference purposes only and are the property of their respective owners. Giancoli Answers is your best source for the 7th and 6th edition Giancoli physics solutions.