Giancoli 7th Edition textbook cover
Giancoli's Physics: Principles with Applications, 7th Global Edition
17
Electric Potential
Change chapter

17-1 to 17-4: Electric Potential
17-5: Potential Due to Point Charges
17-6: Electric Dipoles
17-7: Capacitance
17-8: Dielectrics
17-9: Electric Energy Storage
17-10: Digital
17-11: TV and Computer Monitors

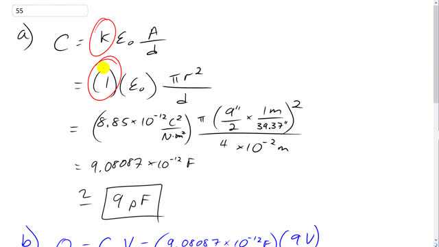
Problem 50
A
  1. 9 pF9 \textrm{ pF}
  2. 8×104 C8 \times 10^{-4} \textrm{ C}
  3. 200 V/m200 \textrm{ V/m}
  4. 4×1010 J4 \times 10^{-10} \textrm{ J}
  5. answers to a, b, and d will change, but the answer for c will not change.
Giancoli 7th "Global" Edition, Chapter 17, Problem 50 solution video poster
Padlock

In order to watch this solution you need to have a subscription.

Find us on:

Facebook iconTrustpilot icon
Giancoli Answers, including solutions and videos, is copyright © 2009-2026 Shaun Dychko, Vancouver, BC, Canada. Giancoli Answers is not affiliated with the textbook publisher. Book covers, titles, and author names appear for reference purposes only and are the property of their respective owners. Giancoli Answers is your best source for the 7th and 6th edition Giancoli physics solutions.