Giancoli 7th Edition textbook cover
Giancoli's Physics: Principles with Applications, 7th Global Edition
15
The Laws of Thermodynamics
Change chapter

15-1 and 15-2: First Law of Thermodynamics
15-3: Human Metabolism
15-5: Heat Engines
15-6: Refrigerators, Air Conditioners, Heat Pumps
15-7: Entropy
15-10: Statistical Interpretation
15-11: Energy Resources

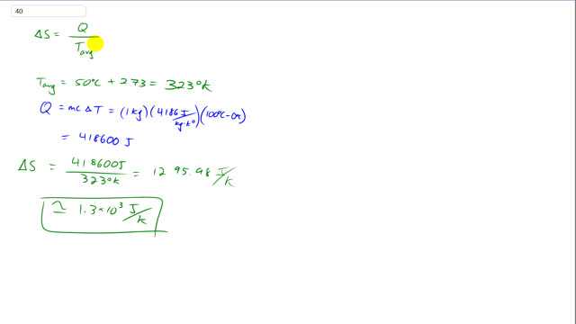
Problem 37
A
1.3×103 J/K1.3 \times 10^3 \textrm{ J/K}
Giancoli 7th "Global" Edition, Chapter 15, Problem 37 solution video poster
Padlock

In order to watch this solution you need to have a subscription.

Find us on:

Facebook iconTrustpilot icon
Giancoli Answers, including solutions and videos, is copyright © 2009-2026 Shaun Dychko, Vancouver, BC, Canada. Giancoli Answers is not affiliated with the textbook publisher. Book covers, titles, and author names appear for reference purposes only and are the property of their respective owners. Giancoli Answers is your best source for the 7th and 6th edition Giancoli physics solutions.