Giancoli 7th Edition textbook cover
Giancoli's Physics: Principles with Applications, 7th Global Edition
11
Vibration and Waves
Change chapter

11-1 to 11-3: Simple Harmonic Motion
11-4: Simple Pendulum
11-7 and 11-8: Waves
11-9: Energy Transported by Waves
11-11: Interference
11-12: Standing Waves; Resonance
11-13: Refraction
11-14: Diffraction

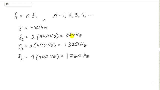
Problem 45
A
440 Hz, 880 Hz, 1320 Hz, 1760 Hz440 \textrm{ Hz, } 880 \textrm{ Hz, } 1320 \textrm{ Hz, } 1760 \textrm{ Hz}
Giancoli 7th "Global" Edition, Chapter 11, Problem 45 solution video poster
Padlock

In order to watch this solution you need to have a subscription.

Find us on:

Facebook iconTrustpilot icon
Giancoli Answers, including solutions and videos, is copyright © 2009-2026 Shaun Dychko, Vancouver, BC, Canada. Giancoli Answers is not affiliated with the textbook publisher. Book covers, titles, and author names appear for reference purposes only and are the property of their respective owners. Giancoli Answers is your best source for the 7th and 6th edition Giancoli physics solutions.