Giancoli 7th Edition textbook cover
Giancoli's Physics: Principles with Applications, 7th Global Edition

10-2: Density and Specific Gravity
10-3 to 10-6: Pressure; Pascal's Principle
10-7: Buoyancy and Archimedes' Principle
10-8 to 10-10: Fluid Flow, Bernoulli's Equation
10-11: Viscosity
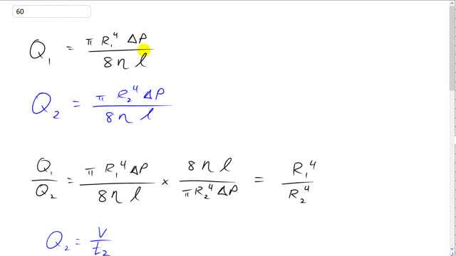
10-12: Flow in Tubes; Poiseuille's Equation
10-13: Surface Tension and Capillarity
10-14: Pumps; the Heart

Problem 54
A
0.870.87
Giancoli 7th "Global" Edition, Chapter 10, Problem 54 solution video poster
Padlock

In order to watch this solution you need to have a subscription.

Find us on:

Facebook iconTrustpilot icon
Giancoli Answers, including solutions and videos, is copyright © 2009-2026 Shaun Dychko, Vancouver, BC, Canada. Giancoli Answers is not affiliated with the textbook publisher. Book covers, titles, and author names appear for reference purposes only and are the property of their respective owners. Giancoli Answers is your best source for the 7th and 6th edition Giancoli physics solutions.