
In order to watch this solution you need to have a subscription.
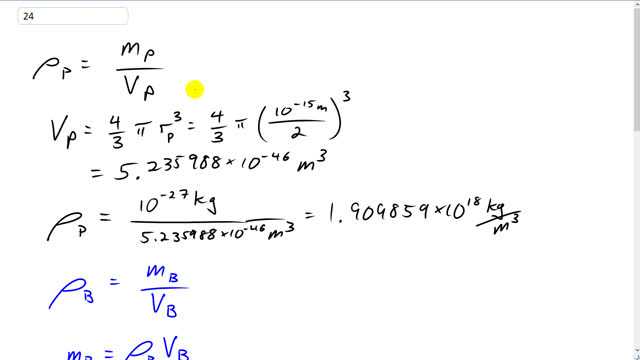
Hello, FYI this answer you wrote is different from the one given in the back of the book. The answer given is 4 x 10^14 kg. I recalculated your solution and it comes out the same as the book, so you must have just written the wrong exponent in the answer. Thanks!
Hi sergfo, thank you for noticing that! I have make a correction to the final answer and made a note about the incorrect calculation in the video.
Thanks again,
Mr. Dychko
