
In order to watch this solution you need to have a subscription.
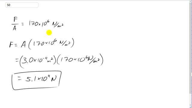
This is Giancoli Answers with Mr. Dychko. The maximum compressive stress that bone can withstand is 170 times 10 to the 6 newtons per square meter which we get from table [9-2] on page 245 and that equals force over area because stress is force divided by cross-sectional area. So we multiply both sides by A and then we get F is A times that compressive strength. And so area is 3.0 times 10 to the minus 4 square meters times 170 times 10 to the 6 newtons per square meter and you get 5.1 times 10 to the 4 newtons.
