Giancoli 7th Edition textbook cover
Giancoli's Physics: Principles with Applications, 7th Edition
31
Nuclear Energy; Effects and Uses of Radiation
Change chapter

31-1: Nuclear Reactions, Transmutation
31-2: Nuclear Fission
31-3: Nuclear Fusion
31-5: Dosimetry
31-9: NMR

Question by Giancoli, Douglas C., Physics: Principles with Applications, 7th Ed., ©2014, Reprinted by permission of Pearson Education Inc., New York.
Problem 50
Q

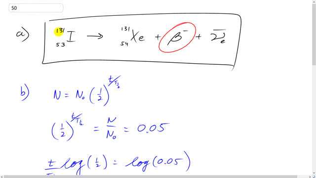
Huge amounts of radioactive 53131I{^{131}_{53}\textrm{I}} were released in the accident at Chernobyl in 1986. Chemically, iodine goes to the human thyroid. (It can be used for diagnosis and treatment of thyroid problems.) In a normal thyroid, 53131I{^{131}_{53}\textrm{I}} absorption can cause damage to the thyroid.

  1. Write down the reaction for the decay of 53131I{^{131}_{53}\textrm{I}}.
  2. Its half-life is 8.0 d; how long would it take for ingested 53131I{^{131}_{53}\textrm{I}} to become 5.0% of the initial value?
  3. Absorbing 1 mCi of 53131I{^{131}_{53}\textrm{I}} can be harmful; what mass of iodine is this?
A
  1. 53131I54131Xe+β+νeˉ{}_{53}^{131}I \longrightarrow {}_{54}^{131}Xe + \beta^- + \bar{\nu_e}
  2. 35 d35 \textrm{ d}
  3. 8 pg8 \textrm{ pg}
Giancoli 7th Edition, Chapter 31, Problem 50 solution video poster
Padlock

In order to watch this solution you need to have a subscription.

Find us on:

Facebook iconTrustpilot icon
Giancoli Answers, including solutions and videos, is copyright © 2009-2026 Shaun Dychko, Vancouver, BC, Canada. Giancoli Answers is not affiliated with the textbook publisher. Book covers, titles, and author names appear for reference purposes only and are the property of their respective owners. Giancoli Answers is your best source for the 7th and 6th edition Giancoli physics solutions.