
Please note that near the end of the video, the final answer to part b) says incorrectly that the vector is above the positive x-axis. is, in fact, above the negative x-axis, as shown in the drawing for part b).
In order to watch this solution you need to have a subscription.
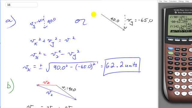
This is Giancoli Answers with Mr. Dychko. A vector with a negative y-component of 65 and a length of 90 could be either this vector or this one; the x-component could be either to the left or to the right and we can calculate what the x-component would be by knowing that the x-component squared plus the y-component squared has to give the length of the vector squared and rearrange this by subtracting v y squared from both sides and we have v x squared and then take the square root of both sides and when you do that, you have a positive or the negative of the square root and so this algebra confirms what we know from the drawing that the x-component could be either to the right positive or to the left negative and it would be 62.2 units long. In part (b), we know that we are gonna add some vector 2 to vector 1 and now we are assuming that it has an x-component in the positive x-direction some vector 2 such that a resultant, which goes from the very beginning to the very end is entirely in the x-direction and it's negative 80. So the x-component of the resultant is v 1 x plus v 2 x and we can rearrange this to solve for v 2 x by subtracting v 1 x from both sides and then switch the sides around and so we have negative 80 which is our x-component into the resultant minus the 62.249 which we calculated from before for the x-component of the first vector and that gives negative 142.2; this minus sign comes from our algebra by the way so it's minus positive 62 point such and such. And v r y is zero we are told and it's the sum of the y-components of the vectors that we are working with and that means that v 2 y is the opposite of v 1 y and v 1 y is negative 65 and so v 2 y is positive 65. So the opposite of the negative 65, negative, negative makes positive 65. And the length of the vector 2 then will be the square root of the sum of the squares of the two components and that gives 156.396. And then the angle is gonna be the inverse tangent of the y-component of this resultant divided by the x-component of the resultant and we end up with 156 units, 24.6 degrees above the positive x-axis.
Handwriting could be better
Hi ianussery82, sorry if I was rushing through that one, but I hope it's legible enough to be helpful.
Thanks for the feedback.
Cheers,
Mr. Dychko
I am a little confused, in part A are we not solving for V^2? in which case we should solve for by square root of 90^2+(-65^2)? this comes out with the same answer posted but the math works out correctly.
Hi tthorne15, thanks for the question. If I don't quite understand your question, please just leave another comment. I think what you're asking about is the minus sign under the square root? Are you proposing rather than the shown in the video? The plus is used in the Pythagoras theorem when solving for the longest side of a right triangle (that side being known as the hypotenuse). In this case we're solving for one of the shorter sides (known as the "legs") instead, and after an algebraic manipulation (shown in the video) we end up with a minus.
All the best,
Mr. Dychko
I think the answer to this question is wrong. The coordinate of the resultant vector is (-142.2 , 65) which means that it is located in quadrant 2. Since the value of tangent is negative in quadrant 2 it makes sense as well. The angle is 24.56 degrees above the negative x - axis, not positive x-axis.
Hi chaegyunkang, thank you for spotting that, and for the thoughtful analysis. You're quite right! I'll change the written answer, and made a note about the video.
All the best with your studies,
Mr. Dychko
