Giancoli 7th Edition textbook cover
Giancoli's Physics: Principles with Applications, 7th Edition
28
Quantum Mechanics of Atoms
Change chapter

28-2: Wave Function, Double-Slit
28-3: Uncertainty Principle
28-6 to 28-8: Quantum Numbers, Exclusion Principle
28-9: X-Rays
28-11: Lasers

Question by Giancoli, Douglas C., Physics: Principles with Applications, 7th Ed., ©2014, Reprinted by permission of Pearson Education Inc., New York.
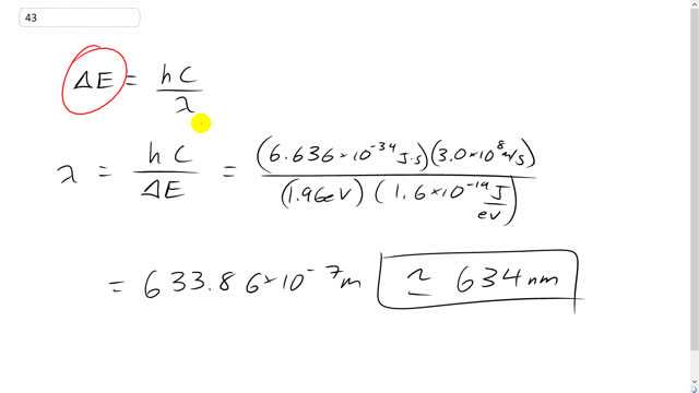
Problem 43
Q

Calculate the wavelength of the He–Ne laser (see Fig. 28–20).

Energy levels for He and Ne. He is excited in the electric discharge to the E_1 state. This energy is transferred to the E'_3 level of the Ne by collision. E'_3 is metastable and decays to E'_2 by stimulated emission.
Figure 28-20 Energy levels for He and Ne. He is excited in the electric discharge to the E1E_1 state. This energy is transferred to the E3E'_3 level of the Ne by collision. E3E'_3 is metastable and decays to E2E'_2 by stimulated emission.
A
634 nm634 \textrm{ nm}
Giancoli 7th Edition, Chapter 28, Problem 43 solution video poster
Padlock

In order to watch this solution you need to have a subscription.

Find us on:

Facebook iconTrustpilot icon
Giancoli Answers, including solutions and videos, is copyright © 2009-2026 Shaun Dychko, Vancouver, BC, Canada. Giancoli Answers is not affiliated with the textbook publisher. Book covers, titles, and author names appear for reference purposes only and are the property of their respective owners. Giancoli Answers is your best source for the 7th and 6th edition Giancoli physics solutions.