Giancoli 7th Edition textbook cover
Giancoli's Physics: Principles with Applications, 7th Edition
27
Early Quantum Theory and Models of the Atom
Change chapter

27-1: Discovery of the Electron
27-2: Blackbodies; Planck's Quantum Hypothesis
27-3 and 27-4: Photons and the Photoelectric Effect
27-5: Compton Effect
27-6: Pair Production
27-8: Wave Nature of Matter
27-9: Electron Microscope
27-11 and 27-12: Spectra and the Bohr Model

Question by Giancoli, Douglas C., Physics: Principles with Applications, 7th Ed., ©2014, Reprinted by permission of Pearson Education Inc., New York.
Problem 58
Q

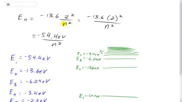
Construct the energy-level diagram for the ion (like Fig. 27–29).

Energy-level diagram for the hydrogen atom, showing the transitions for the spectral lines of the Lyman, Balmer, and Paschen series (Fig. 27–25). Each vertical arrow represents an atomic transition that gives rise to the photons of one spectral line (a single wavelength or frequency).
Figure 27-29 Energy-level diagram for the hydrogen atom, showing the transitions for the spectral lines of the Lyman, Balmer, and Paschen series (Fig. 27–25). Each vertical arrow represents an atomic transition that gives rise to the photons of one spectral line (a single wavelength or frequency).
A
see video
Giancoli 7th Edition, Chapter 27, Problem 58 solution video poster
Padlock

In order to watch this solution you need to have a subscription.

Find us on:

Facebook iconTrustpilot icon
Giancoli Answers, including solutions and videos, is copyright © 2009-2026 Shaun Dychko, Vancouver, BC, Canada. Giancoli Answers is not affiliated with the textbook publisher. Book covers, titles, and author names appear for reference purposes only and are the property of their respective owners. Giancoli Answers is your best source for the 7th and 6th edition Giancoli physics solutions.