Giancoli 7th Edition textbook cover
Giancoli's Physics: Principles with Applications, 7th Edition
26
Special Theory of Relativity
Change chapter

26-4 and 26-5: Time Dilation, Length Contraction
26-7: Relativistic Momentum
26-9: Mass and Energy
26-10: Relativistic Addition of Velocities

Question by Giancoli, Douglas C., Physics: Principles with Applications, 7th Ed., ©2014, Reprinted by permission of Pearson Education Inc., New York.
Problem 2
Q

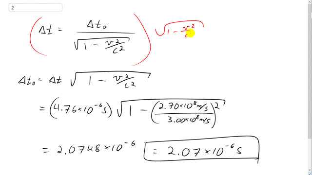
A certain type of elementary particle travels at a speed of 2.70×108 m/s2.70 \times 10^8 \textrm{ m/s}. At this speed, the average lifetime is measured to be 4.76×106 s4.76 \times 10^{-6} \textrm{ s}. What is the particle’s lifetime at rest?

A
2.07×106 s2.07 \times 10^{-6} \textrm{ s}
Giancoli 7th Edition, Chapter 26, Problem 2 solution video poster
Padlock

In order to watch this solution you need to have a subscription.

Find us on:

Facebook iconTrustpilot icon
Giancoli Answers, including solutions and videos, is copyright © 2009-2026 Shaun Dychko, Vancouver, BC, Canada. Giancoli Answers is not affiliated with the textbook publisher. Book covers, titles, and author names appear for reference purposes only and are the property of their respective owners. Giancoli Answers is your best source for the 7th and 6th edition Giancoli physics solutions.