Giancoli 7th Edition textbook cover
Giancoli's Physics: Principles with Applications, 7th Edition
23
Light: Geometric Optics
Change chapter

23-2: Reflection; Plane Mirrors
23-3: Spherical Mirrors
23-4: Index of Refraction
23-5: Refraction; Snell's Law
23-6: Total Internal Reflection
23-7 and 23-8: Thin Lenses
23-9: Lens Combinations
23-10: Lensmaker's Equation

Question by Giancoli, Douglas C., Physics: Principles with Applications, 7th Ed., ©2014, Reprinted by permission of Pearson Education Inc., New York.
Problem 19
Q

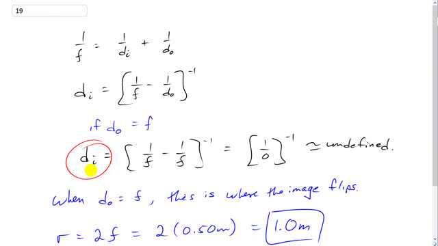
When walking toward a concave mirror you notice that the image flips at a distance of 0.50 m. What is the radius of curvature of the mirror?

A
1.0 m
Giancoli 7th Edition, Chapter 23, Problem 19 solution video poster
Padlock

In order to watch this solution you need to have a subscription.

Find us on:

Facebook iconTrustpilot icon
Giancoli Answers, including solutions and videos, is copyright © 2009-2026 Shaun Dychko, Vancouver, BC, Canada. Giancoli Answers is not affiliated with the textbook publisher. Book covers, titles, and author names appear for reference purposes only and are the property of their respective owners. Giancoli Answers is your best source for the 7th and 6th edition Giancoli physics solutions.